XNPV — функция диаграммы
XNPV() возвращает агрегированную чистую текущую стоимость для графика денежных потоков (не обязательно периодических), представленных парными числами в выражениях, выданных элементами pmt и date, которые повторяются в измерениях диаграммы. Все платежи учитываются на основе года с 365 днями.
Синтаксис:
XNPV([TOTAL [<fld{,fld}>]] discount_rate, pmt, date)
Возвращаемые типы данных: числовое значение
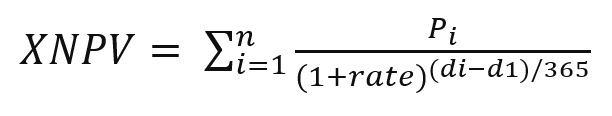
Для расчета XNPV используется следующая формула:
Формула агрегирования XNPV

где:
-
Pi= чистый приход-расход денежных средств в течение одного периода i
-
d1= дата первого платежа
-
di = дата i-го платежа
-
rate = процент скидки
Чистая текущая стоимость (Net Present Value, NPV) используется для расчета текущей общей стоимости будущих потоков движения денежных средств с учетом ставки дисконта. Для расчета XNPV необходимо оценить будущие потоки движения денежных средств с соответствующими датами. После этого для каждого платежа применяется сложная ставка дисконта на основе даты платежа.
Выполнение агрегирования XNPV для серии платежей выполняется аналогично агрегированию суммы этих платежей. Разница заключается в том, что каждая сумма модифицируется (или «дисконтируется») в соответствии с выбранной дисконтной ставкой (подобно процентной ставке) и с тем, насколько далеко в будущем ожидается платеж. Выполнение XNPV с параметром discount_rate=0 дает значение XNPV, равное результату операции суммирования (Sum) (платежи не модифицируются перед суммированием). В общем, чем ближе значение discount_rate к нулю, тем ближе результат XNPV к результату агрегирования суммы.
| Аргумент | Описание |
|---|---|
| discount_rate |
discount_rate — годовая ставка дисконта, на которую должны уменьшаться платежи. Значение 0,1 соответствует скидке 10%. |
| pmt | Платежи. Выражение или поле, содержащее денежные потоки, соответствующие графику платежей, представленному в элементе date. Положительные значения воспринимаются рассматриваются как доходы, а отрицательные — как расходы. Примечание к информацииXNPV() не уменьшает начальный поток денежных средств, так как он всегда происходит в дату начала. Последующие платежи учитываются на основе года с 365 днями. Эта функция отличается от функции NPV(), которая также применяет скидку к первому платежу. |
| date | Выражение или поле, содержащее график дат, соответствующих потоку денежных средств, представленному в элементе pmt. Первое значение используется как начальная дата при расчетах смещения для будущих денежных потоков. |
| TOTAL |
Если слово TOTAL стоит перед аргументами функции, вычисление выполняется по всем возможным значениям, указанным в текущих выборках, а не только в тех, которые относятся к значению текущего измерения, т. е. измерения диаграммы игнорируются. При использовании выражения TOTAL [<fld {.fld}>], где префикс TOTAL предшествует списку из одного или нескольких имен полей, выступающих в качестве подмножества переменных измерения диаграммы, создается подмножество всех возможных значений. |
При работе с этой функцией действуют следующие варианты:
-
Элементы discount_rate, pmt и date не должны содержать функции агрегирования, если только эти внутренние агрегирования не содержат префиксы TOTAL или ALL. Для получения более расширенных вложенных агрегирований необходимо использовать расширенную функцию Aggr вместе с указанным измерением.
-
Текстовые значения, значения NULL и отсутствующие значения в какой-либо или обеих частях пары значений приводят к игнорированию всей пары значений.
Когда это следует использовать
- XNPV() используется при финансовом моделировании для расчета чистой текущей стоимости (NPV) инвестиционной возможности.
Благодаря более высокой точности XNPV этой функции отдается предпочтение перед NPV для всех типов финансовых моделей.
Региональные настройки
Если не указано иное, в примерах, приведенных в данном разделе, используется следующий формат даты: ММ/ДД/ГГГГ. Формат даты указан в операторе SET DateFormat скрипта загрузки данных. В вашей системе может быть установлен другой формат даты по умолчанию в зависимости от региональных настроек и других факторов. Можно изменить формат в примерах в соответствии с потребностями. Или можно изменить форматы в скрипте загрузки в соответствии с этими примерами.
Региональные настройки по умолчанию в приложениях основаны на системных региональных настройках компьютера или сервера, где установлено ПО Qlik Sense. Если на сервере Qlik Sense, к которому обращается пользователь, выбран шведский язык, то редактор загрузки данных будет использовать шведские региональные настройки для даты, времени и валюты. Эти параметры регионального формата не связаны с языком, отображаемым в интерфейсе пользователя Qlik Sense. Qlik Sense будет отображаться на языке, который используется в браузере.