XNPV - 차트 함수
XNPV()는 차트 차원에서 반복되는 pmt 및 date를 통해 지정된 표현식의 숫자 쌍으로 표현된 현금 흐름 일정(주기적일 필요는 없음)에 대해 집계된 순 현재 가치를 반환합니다. 모든 납입금은 1년 365일을 기준으로 할인됩니다.
구문:
XNPV([TOTAL [<fld{,fld}>]] discount_rate, pmt, date)
반환 데이터 유형: 숫자
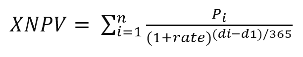
XNPV를 계산하는 공식은 다음과 같습니다.
XNPV 집계 공식

설명:
-
Pi = 단일 기간 i 동안의 순 현금 유입-유출
-
d1= 첫 번째 지불 날짜
-
di = i번째 지불 날짜
-
rate = 할인율
순 현재 가치(NPV)는 할인율이 주어진 미래 현금 흐름 스트림의 현재 총 가치를 계산하는 데 사용됩니다. XNPV를 계산하려면 해당 날짜의 미래 현금 흐름을 추정해야 합니다. 이후 매 결제 시 결제일을 기준으로 복리할인율을 적용합니다.
일련의 지불에 대해 XNPV 집계를 수행하는 것은 해당 지불에 대해 Sum 집계를 수행하는 것과 유사합니다. 차이점은 각 금액이 선택한 할인율(이자율과 유사)과 지불이 얼마나 먼 미래에 있는지에 따라 수정(또는 "할인")된다는 것입니다. discount_rate 매개 변수를 0으로 설정한 상태에서 XNPV를 수행하면 XNPV가 Sum 연산과 동일해집니다(지불액은 합계되기 전에 수정되지 않음). 일반적으로 discount_rate가 0에 가까울수록 XNPV 결과는 Sum 집계의 결과와 유사합니다.
| 인수 | 설명 |
|---|---|
| discount_rate |
discount_rate는 결제 금액을 할인해야 하는 연간 할인율입니다. 값이 0.1이면 10% 할인율을 나타냅니다. |
| pmt | 지불. date에 제공된 지불 일정에 해당하는 현금 흐름을 포함하는 표현식 또는 필드. 양수 값은 유입으로 가정하고 음수 값은 유출로 가정합니다. 정보 메모XNPV()는 항상 시작 날짜에 발생하므로 초기 현금 흐름을 할인하지 않습니다. 후속 지불은 1년 365일을 기준으로 할인됩니다. 이는 첫 번째 결제도 할인되는 NPV()와 다릅니다. |
| date | pmt에 지정된 현금 흐름 지급에 해당하는 날짜의 일정을 포함하는 표현식 또는 필드입니다. 첫 번째 값은 미래 현금 흐름에 대한 시간 오프셋을 계산하기 위한 시작 날짜로 사용됩니다. |
| TOTAL |
TOTAL이 함수 인수 앞에 오는 경우, 현재 선택을 고려하되 현재 차원 값에 관련되지 않은 가능한 모든 값에 대한 계산이 실행됩니다. 즉, 차트 차원은 무시됩니다. TOTAL [<fld {.fld}>](여기서 TOTAL 한정자 뒤에는 하나 이상의 필드 이름 목록이 차트 차원 변수의 하위 집합으로 옴)을 사용하여 가능한 전체 값의 하위 집합을 만듭니다. |
이 함수를 사용할 때 다음 제한 사항이 적용됩니다.
-
내부 집계에 TOTAL 또는 ALL 한정자가 포함된 경우를 제외하고, discount_rate, pmt 및 date에 집계 함수가 포함되지 않아야 합니다. 고급 중첩 집계가 필요한 경우는 고급 함수 Aggr을 지정된 차원과 함께 사용하십시오.
-
데이터 쌍의 한쪽 또는 양쪽에 텍스트 값, NULL 값, 누락된 값이 있으면 전체 데이터 쌍이 무시됩니다.
사용 시기
- XNPV()는 투자 기회의 순 현재 가치(NPV)를 계산하기 위한 재무 모델링에 사용됩니다.
모든 유형의 재무 모델의 경우 XNPV는 정밀도가 더 높으므로 NPV보다 선호됩니다.
국가별 설정
달리 지정하지 않는 한 이 항목의 예에서는 다음 날짜 형식을 사용합니다. YYYY/MM/DD. 날짜 형식은 데이터 로드 스크립트의 SET DateFormat 문에 지정됩니다. 기본 날짜 형식은 지역 설정 및 기타 요인으로 인해 시스템에서 다를 수 있습니다. 아래 예의 형식을 요구 사항에 맞게 변경할 수 있습니다. 또는 이러한 예와 일치하도록 로드 스크립트의 형식을 변경할 수 있습니다.
앱의 기본 국가별 설정은 Qlik Sense가 설치된 컴퓨터 또는 서버의 국가별 시스템 설정을 기반으로 합니다. 액세스하는 Qlik Sense 서버가 스웨덴으로 설정된 경우 데이터 로드 편집기는 날짜, 시간 및 통화에 대해 스웨덴 지역 설정을 사용합니다. 이러한 국가별 형식 설정은 Qlik Sense 사용자 인터페이스에 표시되는 언어와 관련이 없습니다. Qlik Sense는 사용 중인 브라우저와 동일한 언어로 표시됩니다.