XNPV - grafik fonksiyonu
XNPV(), grafik boyutları üzerinde yinelenen pmt ve date ile verilen ifadelerdeki eşleştirilmiş sayıların temsil ettiği bir nakit akışları planı için (mutlaka dönemsel olması gerekmez) toplam net bugünkü değeri döndürür. Tüm ödemelere 365 günlük yıl temel alınarak iskonto uygulanır.
Söz Dizimi:
XNPV([TOTAL [<fld{,fld}>]] discount_rate, pmt, date)
Dönüş verileri türü: sayısal
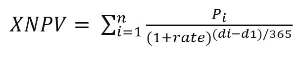
XNPV'yi hesaplama formülü aşağıda gösterilmiştir:
XNPV toplama formülü

burada:
-
Pi = Tek bir dönem boyunca gelen ve giden net nakit akışları i
-
d1= ilk ödeme tarihi
-
di = i. ödeme tarihi
-
rate = indirim oranı
Net bugünkü değer veya NPV, bir indirim oranı belirtilerek gelecekteki nakit akışlarının geçerli toplam değerini hesaplamak için kullanılır. XNPV'yi hesaplamak için gelecekteki nakit akışlarını karşılık gelen tarihlerle tahmin etmemiz gerekir. Bundan sonra her ödeme için ödeme tarihine göre bileşik indirim oranı uygularız.
Bir dizi ödeme üzerinden XNPV Sum toplama işlemi gerçekleştirmek, bu ödemeler üzerinde Topla işlemi gerçekleştirmeye benzer. Aradaki fark, her tutarın seçilen indirim oranına (faiz oranına benzer) ve ödemenin ne kadar ileride olduğuna göre değiştirilmesidir (veya "indirim uygulanmasıdır"). XNPV'yi discount_rate parametresi sıfıra ayarlı olarak gerçekleştirmek, XNPV'yi bir Sum işlemine eşdeğer hâle getirir (ödemeler toplanmadan önce değiştirilmez). Genel olarak, discount_rate sıfıra ne kadar yakın ayarlanırsa, XNPV sonucu bir Sum toplama işlemine o kadar benzer.
| Bağımsız Değişken | Açıklama |
|---|---|
| discount_rate |
discount_rate, ödemelere indirim uygulanması gereken yıllık orandır. 0,1 değeri %10 indirim oranını gösterir. |
| pmt | Ödemeler. date içinde verilen ödeme planına karşılık gelen nakit akışlarını içeren ifade veya alan. Pozitif değerler gelen akışlar ve negatif değerler giden akışlar olarak kabul edilir. Bilgi notuXNPV(), her zaman başlangıç tarihinde meydana geleceğinden dolayı başlangıçtaki nakit akışına indirim uygulamaz. İzleyen ödemelere 365 günlük yıl temel alınarak indirim uygulanır. Bu, ilk ödemeye de indirim uygulanan NPV() fonksiyonundan farklıdır. |
| date | pmt içinde verilen nakit akışı ödemelerine karşılık gelen tarih planını içeren ifade veya alan. İlk değer, gelecekteki nakit akışları için farkların hesaplanmasında başlangıç tarihi olarak kullanılır. |
| TOTAL |
TOTAL sözcüğü, fonksiyon bağımsız değişkenlerinden önce gelirse, hesaplama yalnızca geçerli boyutsal değere ait olanlar için değil, geçerli seçimlerde verilen tüm olası değerler üzerinden yapılır; yani grafik boyutlarını göz ardı eder. TOTAL niteleyicisinden sonra grafik boyut değişkenlerinin bir alt kümesi olarak bir veya daha çok alan adının geldiği TOTAL [<fld {.fld}>] niteleyicisini kullanarak toplam olası değerlerin bir alt kümesini oluşturursunuz. |
Bu fonksiyonla çalışırken aşağıdaki sınırlamalar uygulanır:
-
Bu iç toplamlar TOTAL veya ALL niteleyicilerini içermedikçe discount_rate, pmt ve date öğelerinin toplama işlevleri içermemesi gerekir. Daha gelişmiş iç içe toplamalar için, belirli bir boyutla birlikte gelişmiş Aggr işlevini kullanın.
-
Bir veri çiftinin herhangi bir veya her iki parçasındaki metin değerleri, NULL değerler ve eksik değerler, veri çiftinin tamamının göz ardı edilmesine neden olur.
Ne zaman kullanılır?
- XNPV(), finansal modellemede bir yatırım fırsatının net bugünkü değerini (NPV) hesaplamak için kullanılır.
Tüm finansal model türlerinde, NPV yerine kesinliği daha yüksek olan XNPV tercih edilir.
Bölgesel ayarlar
Aksi belirtilmedikçe bu konudaki örneklerde aşağıdaki tarih formatı kullanılır: AA/GG/YYYY. Tarih formatı, veri yükleme kodunuzda SET DateFormat deyiminde belirtilir. Varsayılan tarih formatı, bölgesel ayarlarınız ve diğer unsurlar nedeniyle sisteminizde farklı olabilir. Aşağıdaki örneklerdeki formatları ihtiyaçlarınıza uyacak şekilde değiştirebilirsiniz. Dilerseniz yükleme kodunuzdaki formatları aşağıdaki örneklere uyacak şekilde değiştirebilirsiniz.
Uygulamalardaki bölgesel ayarlarda Qlik Sense'in yüklü olduğu bilgisayarın veya sunucunun bölgesel sistem ayarları temel alınır. Eriştiğiniz Qlik Sense sunucusu İsveç olarak ayarlıysa, Veri yükleme düzenleyicisi tarihler, saat ve para birimi için İsveç bölgesel ayarlarını kullanır. Bu bölgesel format ayarları, Qlik Sense kullanıcı arayüzünde görüntülenen dil ayarlarıyla ilgili değildir. Qlik Sense, kullandığınız tarayıcıyla aynı dilde görüntülenir.