XNPV — функция диаграммы
XNPV() возвращает агрегированную чистую текущую стоимость для графика денежных потоков (не обязательно периодических), представленных парными числами в выражениях, выданных элементами pmt и date, которые повторяются в измерениях диаграммы. Все платежи учитываются на основе года с 365 днями.
Синтаксис:
XNPV([TOTAL [<fld{,fld}>]] discount_rate, pmt, date)
Возвращаемые типы данных: число
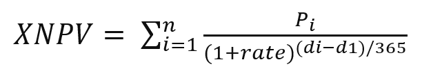
Для расчета XNPV используется следующая формула:
Формула агрегирования XNPV

где:
-
Pi= чистый приход-расход денежных средств в течение одного периода i
-
d1= дата первого платежа
-
di = дата i-го платежа
-
rate = процент скидки
Чистая текущая стоимость (Net Present Value, NPV) используется для расчета текущей общей стоимости будущих потоков движения денежных средств с учетом ставки дисконта. Для расчета XNPV необходимо оценить будущие потоки движения денежных средств с соответствующими датами. После этого для каждого платежа применяется сложная ставка дисконта на основе даты платежа.
Выполнение агрегирования XNPV для серии платежей выполняется аналогично агрегированию суммы этих платежей. Разница заключается в том, что каждая сумма модифицируется (или «дисконтируется») в соответствии с выбранной дисконтной ставкой (подобно процентной ставке) и с тем, насколько далеко в будущем ожидается платеж. Выполнение XNPV с параметром discount_rate=0 дает значение XNPV, равное результату операции суммирования (Sum) (платежи не модифицируются перед суммированием). В общем, чем ближе значение discount_rate к нулю, тем ближе результат XNPV к результату агрегирования суммы.
| Аргумент | Описание |
|---|---|
| discount_rate |
discount_rate — годовая ставка дисконта, на которую должны уменьшаться платежи. Значение 0,1 соответствует скидке 10%. |
| pmt | Платежи. Выражение или поле, содержащее денежные потоки, соответствующие графику платежей, представленному в элементе date. Положительные значения воспринимаются рассматриваются как доходы, а отрицательные — как расходы. Примечание к информацииXNPV() не уменьшает начальный поток денежных средств, так как он всегда происходит в дату начала. Последующие платежи учитываются на основе года с 365 днями. Эта функция отличается от функции NPV(), которая также применяет скидку к первому платежу. |
| date | Выражение или поле, содержащее график дат, соответствующих потоку денежных средств, представленному в элементе pmt. Первое значение используется как начальная дата при расчетах смещения для будущих денежных потоков. |
| TOTAL |
Если слово TOTAL стоит перед аргументами функции, вычисление выполняется по всем возможным значениям, указанным в текущих выборках, а не только в тех, которые относятся к значению текущего измерения, т. е. измерения диаграммы игнорируются. При использовании выражения TOTAL [<fld {.fld}>], где префикс TOTAL предшествует списку из одного или нескольких имен полей, выступающих в качестве подмножества переменных измерения диаграммы, создается подмножество всех возможных значений. |
При работе с этой функцией действуют следующие варианты:
-
Элементы discount_rate, pmt и date не должны содержать функции агрегирования, если только эти внутренние агрегирования не содержат префиксы TOTAL или ALL. Для получения более расширенных вложенных агрегирований необходимо использовать расширенную функцию Aggr вместе с указанным измерением.
-
Текстовые значения, значения NULL и отсутствующие значения в какой-либо или обеих частях пары значений приводят к игнорированию всей пары значений.
Когда это следует использовать
- XNPV() используется при финансовом моделировании для расчета чистой текущей стоимости (NPV) инвестиционной возможности.
-
Благодаря более высокой точности XNPV этой функции отдается предпочтение перед NPV для всех типов финансовых моделей.
Региональные настройки
Если не указано иное, в примерах, приведенных в данном разделе, используется следующий формат даты: ММ/ДД/ГГГГ. Формат даты указан в операторе SET DateFormat скрипта загрузки данных. В вашей системе может быть установлен другой формат даты по умолчанию в зависимости от региональных настроек и других факторов. Можно изменить формат в примерах в соответствии с потребностями. Или можно изменить форматы в скрипте загрузки в соответствии с этими примерами.
Региональные настройки по умолчанию в приложениях основаны на системных региональных настройках компьютера или сервера, где установлено ПО Qlik Sense. Если на сервере Qlik Sense, к которому обращается пользователь, выбран шведский язык, то редактор загрузки данных будет использовать шведские региональные настройки для даты, времени и валюты. Эти параметры регионального формата не связаны с языком, отображаемым в интерфейсе пользователя Qlik Sense. Qlik Sense будет отображаться на языке, который используется в браузере.