XNPV - funzione per grafici
XNPV() restituisce il valore netto attuale aggregato per una programmazione di flussi di cassa (non necessariamente periodica) rappresentati da coppie di numeri nelle espressioni date da pmt e date, ripetuti sulle dimensioni del grafico. Tutti i pagamenti sono scontati in base ad un anno composto da 365 giorni.
Sintassi:
XNPV([TOTAL [<fld{,fld}>]] discount_rate, pmt, date)
Tipo di dati restituiti: numerico
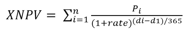
La formula per calcolare l'XNPV è mostrata di seguito:
Formula di aggregazione XNPV

dove:
-
Pi= Flussi di cassa netti in entrata e in uscita durante un singolo periodo i
-
d1= la data del primo pagamento
-
di = la data del io pagamento
-
rate = tasso di sconto
Il valore attuale netto, o VAN, viene utilizzato per calcolare il valore totale attuale di una serie futura di flussi di cassa tenendo in considerazione un tasso di sconto. Per calcolare l'XNPV, è necessario stimare flussi di cassa futuri con date corrispondenti. In seguito, per ogni pagamento, si applica il tasso di sconto composto in base alla data del pagamento.
Eseguire un'aggregazione XNPV su una serie di pagamenti è simile a eseguire un'aggregazione Sum sugli stessi pagamenti. La differenza è che ogni importo viene modificato (o "scontato") in base al tasso di sconto scelto (simile al tasso di interesse) e a quanto tempo nel futuro avviene il pagamento. Eseguire XNPV con il parametro discount_rate impostato su zero renderà XNPV equivalente a un'operazione Sum (i pagamenti non verranno modificati prima di essere sommati). In generale, più discount_rate si avvicina allo zero, più il risultato di XNPV assomiglierà a quello di un'aggregazione Sum.
| Argomento | Descrizione |
|---|---|
| discount_rate |
discount_rate è il tasso annuale in base al quale dovrebbero essere scontati i pagamenti. Un valore di 0,1 indica un tasso di sconto del 10%. |
| pmt | Pagamenti. L'espressione o il campo contenente i flussi di cassa corrispondenti alla programmazione di pagamento fornita in date. I valori positivi sono considerati flussi in entrata, mentre quelli negativi sono considerati flussi in uscita. Nota informaticaXNPV() non sconta il flusso di cassa iniziale, dato che avrà sempre luogo alla data di inizio. I pagamenti successivi sono scontati in base ad un anno composto da 365 giorni. È differente da NPV(), dove anche il primo pagamento viene scontato. |
| date | L'espressione o il campo contenente la programmazione di date corrispondente ai pagamenti con flusso di cassa forniti in pmt. Il primo valore viene utilizzato come data di inizio per il calcolo dei differimenti temporali per i flussi di cassa futuri. |
| TOTAL |
Se la parola TOTAL viene riportata prima degli argomenti della funzione, il calcolo verrà effettuato su tutti i valori possibili dati dalle selezioni correnti e non solo su quelli relativi al valore dimensionale attuale, vale a dire che verranno ignorate le dimensioni del grafico. Utilizzando TOTAL [<fld {.fld}>], dove il qualificatore TOTAL è seguito da un elenco di uno o più nomi di campo come sottogruppo delle variabili di dimensione del grafico, si crea un sottogruppo di tutti i valori possibili. |
Quando si lavora con questa funzione, si applicano le seguenti limitazioni:
-
discount_rate, pmt e date non devono contenere funzioni di aggregazione, a meno che queste aggregazioni interne non contengano il qualificatore TOTAL o ALL. Nel caso di aggregazioni nidificate più complesse, utilizzare la funzione avanzata Aggr in combinazione con una dimensione specificata.
-
Se una o entrambe le parti di una coppia di dati includono valori di testo, valori NULL e valori mancanti, l'intera coppia di dati verrà ignorata.
Casi di utilizzo
- XNPV() è utilizzato nella modellistica finanziaria per calcolare il valore attuale netto (VAN) di un'opportunità di investimento.
-
Grazie alla sua maggiore precisione, l'XNPV è preferito al VAN per tutti i tipi di modelli finanziari.
Impostazioni locali
Se non diversamente specificato, gli esempi di questo argomento utilizzano il seguente formato di data: MM/GG/AAAA. Il formato della data viene specificato nell'istruzione SET DateFormat nello script di caricamento dei dati. La formattazione predefinita della data potrebbe essere diversa nel proprio sistema, a causa delle impostazioni regionali e di altri fattori. È possibile modificare i formati degli esempi seguenti in base alle proprie esigenze. In alternativa, è possibile modificare i formati nel proprio script di caricamento per adattarli a questi esempi.
Le impostazioni regionali predefinite delle app si basano sulle impostazioni regionali del sistema del computer o del server in cui risulta installato Qlik Sense. Se il server Qlik Sense a cui si accede è impostato in Svezia, l'editor caricamento dati utilizzerà le impostazioni regionali svedesi per date, ora e valuta. Queste impostazioni di formato regionale non riguardano la lingua visualizzata nell'interfaccia utente Qlik Sense. Qlik Sense verrà visualizzato nella stessa lingua del browser utilizzato.