XNPV - Diagrammfunktion
XNPV() liefert den aggregierten Nettobarwert einer Reihe (nicht notwendigerweise regelmäßig erfolgenden) Cashflows, repräsentiert durch die Wertepaare in den Formeln von pmt und date, iteriert nach den Dimensionen des Diagramms. Alle Beträge werden auf ein 365-Tage-Jahr hochgerechnet.
Syntax:
XNPV([TOTAL [<fld{,fld}>]] discount_rate, pmt, date)
Rückgabe Datentyp: numerisch
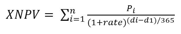
Die Formel zum Berechnen von XNPV wird unten gezeigt:
XNPV-Aggregierungsformel

Dabei gilt:
-
Pi= eingehende und ausgehende Nettozahlungsströme während eines einzelnen Zeitraums i
-
d1= das erste Zahlungsdatum
-
di = das ite Zahlungsdatum
-
rate = Diskontierungsrate
Der Nettobarwert (Net Present Value, NPV) dient zum Berechnen des aktuellen Gesamtwerts von zukünftigen Geldflüssen bei einer bestimmten Diskontierungsrate. Zum Berechnen des XNPV müssen wir zukünftige Geldflüsse mit entsprechenden Datumswerten schätzen. Danach wenden wir für jede Zahlung die Gesamtdiskontierungsrate basierend auf dem Zahlungsdatum an.
Die XNPV-Aggegierung über eine Reihe von Zahlungen gleicht einer Summenaggregierung über diese Zahlungen. Der Unterschied besteht darin, dass jeder Betrag abgeändert („diskontiert“) wird – abhängig von der gewählten Diskontierungsrate (ähnlich einem Zinssatz) und abhängig davon, wie weit in der Zukunft die Zahlung liegt. Wenn für XNPV der Parameter discount_rate auf Null festgesetzt ist, entspricht XNPV einer Summenoperation (die Zahlungen werden vor dem Summieren nicht geändert). Generell gilt: Je näher discount_rate bei null liegt, desto stärker gleicht das XNPV-Ergebnis dem einer Summenaggregierung.
| Argument | Beschreibung |
|---|---|
| discount_rate |
discount_rate ist die jährliche Rate, um die die Zahlungen diskontiert werden sollen. Ein Wert von 0,1 gibt eine Diskontierungsrate von 10 % an. |
| pmt | Zahlungen. Die Formel oder das Feld mit den Cashflows, die den Zahlungszeitpunkten in date entsprechen. Positive Werte gelten als Zahlungseingänge, negative Werte als Zahlungsausgänge. InformationshinweisXNPV() diskontiert den anfänglichen Geldfluss nicht, da diese immer am Startdatum stattfindet. Anschließende Zahlungen werden auf ein 365-Tage-Jahr hochgerechnet. Das ist anders als bei NPV(), wo auch die erste Zahlung diskontiert wird. |
| date | Die Formel oder das Feld mit den Zeitpunkten, die den Cashflow-Zahlungen in pmt entsprechen. Der erste Wert wird als Startdatum für die Berechnung des Versatzes für zukünftige Geldflüsse verwendet. |
| TOTAL |
Der Zusatz TOTAL vor der Funktion bewirkt, dass die Berechnung über alle ausgewählten bzw. wählbaren Werte erfolgt, und nicht nur über diejenigen, die zu dem Wert der aktuellen Dimension zählen. Die Dimensionen des Diagramms werden also nicht berücksichtigt. Mit TOTAL [<fld {.fld}>], wobei auf den Zusatz TOTAL eine Liste aus mindestens einem Feldnamen (d. h. einer Teilmenge der Diagrammdimensionsvariablen) folgt, erstellen Sie eine Teilmenge aller möglichen Werte. |
Bei der Arbeit mit dieser Funktion gelten die folgenden Einschränkungen:
-
discount_rate, pmt und date dürfen keine Aggregierungsfunktionen enthalten, es sei denn, die inneren Aggregierungen enthalten den Qualifizierer TOTAL oder ALL. Für komplexere verschachtelte Aggregierungen verwenden Sie die erweiterte Funktion Aggr in Verbindung mit einer angegebenen Dimension.
-
Textwerte, NULL-Werte und fehlende Werte in einem oder beiden Teilen eines Wertepaars führen dazu, dass das Wertepaar ignoriert wird.
Verwendung
- XNPV() wird in der Finanzmodellierung zum Berechnen des Nettobarwerts (Net Present Value, NPV) einer Investitionsmöglichkeit verwendet.
-
Aufgrund seiner höheren Präzision wird XNPV bei allen Typen von Finanzmodellen gegenüber NPV bevorzugt.
Regionaleinstellungen
Sofern nicht anders angegeben, verwenden die Beispiele in diesem Thema das folgende Datumsformat: MM/TT/JJJJ. Das Datumsformat wird in der Anweisung SET DateFormat in Ihrem Datenladeskript angegeben. Das Standarddatumsformat in Ihrem System kann aufgrund Ihrer regionalen Einstellungen und anderer Faktoren abweichen. Sie können die Formate in den Beispielen unten Ihren Anforderungen entsprechend ändern. Sie können auch die Formate in Ihrem Ladeskript entsprechend den Beispielen ändern.
Die standardmäßigen regionalen Einstellungen in Apps basieren auf den regionalen Systemeinstellungen der Computer oder Server, auf denen Qlik Sense installiert ist. Wenn der Qlik Sense-Server, auf den Sie zugreifen, auf Schweden festgelegt ist, verwendet der Dateneditor die schwedischen regionalen Einstellungen für Datums-, Uhrzeit- und Währungsangaben. Diese Einstellungen im regionalen Format hängen nicht mit der Sprache zusammen, die in der Benutzeroberfläche von Qlik Sense angezeigt wird. Qlik Sense wird in der gleichen Sprache wie der von Ihnen verwendete Browser angezeigt.