XNPV - diagramfunktion
XNPV() returnerar det aktuella aggregerade nettovärdet för ett kassaflödesschema (inte nödvändigtvis periodiskt) motsvarat av parvisa tal i de uttryck som ges av pmt och date itererat över diagramdimensionerna. Alla betalningar diskonteras utifrån ett 365-dagarsår.
Syntax:
XNPV([TOTAL [<fld{,fld}>]] discount_rate, pmt, date)
Returnerad datatyp: numeriska
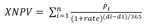
Formeln för att beräkna XNPV visas nedan:
XNPV-aggregeringsformel

där:
-
Pi= nettokassainflöden och -utflöden under en enstaka period i
-
d1= det första betalningsdatumet
-
di = det i:e betalningsdatumet
-
rate = rabattsats
Det aktuella nettovärdet, eller NPV (Net Present Value), används för att beräkna det aktuella totala värdet för en framtida ström av kassaflöden baserat på en räntesats. För att beräkna XNPV måste vi uppskatta framtida kassaflöden med motsvarande datum. Därefter tillämpar vi för varje betalning den effektiva diskonteringsräntan baserat på betalningsdatumet.
Att utföra XNPV-aggregeringen över en serie betalningar liknar att utföra en summaaggregering över dessa betalningar. Skillnaden är att varje belopp ändras (eller "diskonteras") beroende på vald diskonteringsränta (liknande räntesats) och hur långt in i framtiden betalningen ligger. Om XNPV utförs med parametern discount_rate satt till noll kommer XNPV att vara likvärdigt med en summering (betalningarna kommer inte att ändras innan de summeras). I allmänhet gäller att ju närmare noll discount_rate är satt, desto mer liknar XNPV-resultatet resultatet av en summaaggregering.
| Argument | Beskrivning |
|---|---|
| discount_rate |
discount_rate är den årliga ränta som betalningarna ska diskonteras med. Ett värde på 0,1 anger en rabattsats på 10 %. |
| pmt | Betalningar. Uttrycket eller fältet som innehåller de kassaflöden som motsvarar det betalningsschema som anges i date. Positiva värden antas vara inflöden och negativa värden antas vara utflöden. Anteckning om informationXNPV() diskonterar inte det första kassaflödet eftersom det alltid kommer att inträffa på startdatumet. Efterföljande betalningar rabatteras utifrån ett 365-dagarsår. Detta skiljer sig från NPV(), där även den första betalningen diskonteras. |
| date | Uttrycket eller fältet som innehåller de datascheman som motsvarar kassaflödesbetalningar som ges i pmt. Det första värdet används som startdatum för att beräkna tidsförskjutning för framtida kassaflöden. |
| TOTAL |
Om ordet TOTAL står före funktionsargumenten görs beräkningen över alla valbara värden givet de aktuella valen, och inte bara sådana som rör det aktuella dimensionsvärdet, det vill säga att diagramdimensionerna ignoreras. Genom att använda TOTAL [<fld {.fld}>], där kvalificeraren TOTAL följs av en lista med ett eller flera fältnamn som en delmängd av diagramdimensionens variabler, skapar du en delmängd av de totala möjliga värdena. |
När du arbetar med den här funktionen gäller följande begränsningar:
-
discount_rate,pmt och date får inte innehålla aggregeringsfunktioner, såvida inte dessa inre aggregeringar innehåller kvalificerarna TOTAL eller ALL. För mer avancerade nästlade aggregeringar använder du den avancerade Aggr-funktionen i kombination med en specificerad dimension.
-
Textvärden, NULL-värden och saknade värden i någon eller båda delarna av ett datapar resulterar i att hela dataparet ignoreras.
Användning
- XNPV() används vid finansiell modellering för beräkning av det aktuella nettovärdet (NPV) för en investeringsmöjlighet.
-
På grund av sin högre precision är XNPV att föredra framför NPV för alla typer av finansiella modeller.
Lokala inställningar
Om inget annat anges använder exemplen i detta ämne följande datumformat: MM/DD/ÅÅÅÅ. Datumformatet anges i SET DateFormat-satsen i datainläsningsskriptet. Förvald datumformatering kan vara annorlunda i ditt system, på grund av dina regionala inställningar och andra faktorer. Du kan ändra formaten i exemplen nedan så att det passar dina krav. Eller så kan du ändra formaten i ditt laddningsskript så att de matchar dessa exempel.
Standardregionalinställningar i appar baseras på de regionala systeminställningarna för datorn eller servern där Qlik Sense är installerad. Om Qlik Sense-servern du ansluter till är inställd på Sverige så kommer skriptredigeraren använda regionala inställningar för Sverige för datum, tid och valuta. Dessa regionala formatinställningar är inte relaterade till språket som visas i Qlik Sense användargränssnittet. Qlik Sense kommer att visas på samma språk som webbläsaren du använder.