XNPV - função de gráfico
XNPV() retorna o valor líquido atual agregado de uma programação de fluxos de caixa (não necessariamente periódica) representados por números emparelhados nas expressões dadas por pmt e date repetidos nas dimensões de gráfico. Todos os pagamentos têm descontos baseados em um ano de 365 dias.
Sintaxe:
XNPV([TOTAL [<fld{,fld}>]] discount_rate, pmt, date)
Tipo de dados de retorno: numérico
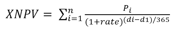
A fórmula para calcular o XNPV é mostrada abaixo:
Fórmula de agregação XNPV

na qual:
-
Pi= Entradas e saídas líquidas de caixa durante um único período i
-
d1= a data do primeiro pagamento
-
di = a data do iº pagamento
-
rate = taxa de desconto
O Valor presente líquido, ou NPV, é usado para calcular o valor total atual de um fluxo futuro de fluxos de caixa, dada uma taxa de desconto. Para calcular XNPV, precisamos estimar fluxos de caixa futuros com datas correspondentes. Depois disso, para cada pagamento, aplicamos a taxa de desconto composta com base na data do pagamento.
Executar a agregação XNPV em uma série de pagamentos é semelhante a executar uma agregação de soma sobre esses pagamentos. A diferença é que cada valor é modificado (ou "descontado") de acordo com a taxa de desconto escolhida (semelhante à taxa de juros) e quanto tempo no futuro está o pagamento. Realizando XNPV com o parâmetro discount_rate definido como zero fará com que o XNPV seja equivalente a uma operação de soma (os pagamentos não serão modificados antes de serem somados). Em geral, quanto mais próximo discount_rate estiver definido de zero, mais semelhante será o resultado de XNPV ao de uma agregação de soma.
| Argumento | Descrição |
|---|---|
| discount_rate |
discount_rate é a taxa anual com base na qual os pagamentos devem ser descontados. Um valor de 0,1 indicaria uma taxa de desconto de 10%. |
| pmt | Pagamentos. A expressão ou campo que contém os fluxos de caixa correspondentes ao cronograma de pagamentos dado no date. Valores positivos são considerados entradas, e valores negativos são considerados saídas. Nota informativaXNPV() não desconta o fluxo de caixa inicial, pois sempre acontecerá na data de início. Os pagamentos subsequentes são descontados com base em um ano de 365 dias. Ele é diferente de NPV(), onde também é descontado o primeiro pagamento. |
| date | A expressão ou campo que contém o cronograma de datas correspondentes aos pagamentos de fluxo de caixa dados em pmt. O primeiro valor é usado como a data inicial para calcular as compensações de tempo para fluxos de caixa futuros. |
| TOTAL |
Se a palavra TOTAL ocorrer antes dos argumentos da função, o cálculo será feito sobre todos os valores possíveis, dadas as seleções atuais, e não apenas sobre os pertinentes ao valor dimensional atual, isto é, desconsiderando as dimensões do gráfico. Usando TOTAL [<fld {.fld}>], em que o qualificador TOTAL é seguido por uma lista de um ou mais nomes de campo como um subconjunto das variáveis de dimensão de gráfico, você cria um subconjunto dos valores possíveis totais. |
Ao trabalhar com essa função, as seguintes limitações são aplicáveis:
-
discount_rate,pmt e date não devem conter funções de agregação, a não ser que essas agregações internas contenham os qualificadores TOTAL ou ALL. Para agregações aninhadas mais avançadas, use a função avançada Aggr junto com uma dimensão especificada.
-
Valores de texto, valores NULLe valores ausentes em qualquer uma das duas partes de um par de dados fazem com que o par de dados inteiro seja ignorado.
Quando usar
- XNPV() é usada na modelagem financeira para calcular o valor presente líquido (NPV) de uma oportunidade de investimento.
-
Devido à sua maior precisão, XNPV é preferível a NPV para todos os tipos de modelos financeiros.
Configurações regionais
A menos que especificado de outra forma, os exemplos neste tópico usam o seguinte formato de data: MM/DD/AAAA. O formato de data é especificado na instrução SET DateFormat no seu script de carregamento de dados. A formatação de data padrão pode ser diferente no seu sistema devido às suas configurações regionais e outros fatores. Você pode alterar os formatos nos exemplos abaixo para atender às suas necessidades. Ou pode alterar os formatos no seu script de carregamento para corresponder a esses exemplos.
As configurações regionais padrão nos aplicativos são baseadas nas configurações regionais do sistema do computador ou servidor em que o Qlik Sense está instalado. Se o servidor Qlik Sense que você está acessando estiver definido como Suécia, o Editor de carregamento de dados usará as configurações regionais suecas para datas, horas e moedas. Essas configurações de formato regional não estão relacionadas ao idioma exibido na interface do usuário do Qlik Sense. O Qlik Sense será exibido no mesmo idioma do navegador que você está usando.