XNPV - 圖表函數
XNPV() 會針對圖表維度上反覆運算的運算式的配對數字 (以 pmt 和 date 表示) 所代表的現金流量排程 (不一定是定期) 傳回彙總淨現值。 所有支出均按照 1 年 365 天攤算。
語法:
XNPV([TOTAL [<fld{,fld}>]] discount_rate, pmt, date)
傳回的資料類型: 數值
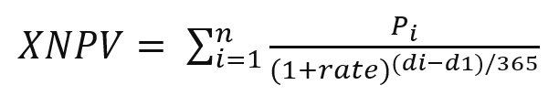
XNPV 的計算公式顯示如下:
XNPV 彙總公式

其中:
-
Pi = 單一期間 i 的淨現金流入-流出量
-
d1= 第一筆付款日期
-
di = 第 i 筆付款日期
-
rate = 折扣率
淨現值 (或 NPV) 用於計算在指定折扣率下未來現金流目前的總值。若要計算 XNPV,我們需要以對應的日期估算未來現金流。在此之後,對於每筆付款,我們會根據付款日期套用複合折扣率。
透過一系列的付款執行 XNPV 彙總類似於透過這些付款執行總和彙總。差別在於,會根據所選的折扣率 (類似利率) 和付款距離未來多久來修改 (或「折扣」) 每筆金額。使用設定為零的 discount_rate 參數執行 XNPV 將會讓 XNPV 等同於總和操作 (在加總之前不會修改付款)。一般而言,設定的 discount_rate 越接近零,XNPV 結果就會越類似於總和彙總的結果。
| 引數 | 描述 |
|---|---|
| discount_rate |
discount_rate 是付款應據此折扣的年折扣率。 0.1 的值表示 10% 的折扣率。 |
| pmt | 付款。包含對應於 date 中提供之付款排程的現金流量的運算式或欄位。 正值假設為收入,而負值則假設為支出。 資訊備註XNPV() 不會折扣初始現金流,因為這一律發生在開始日期。後續付款均按照 1 年 365 天攤算。這不同於也會攤算第一筆付款的 NPV()。 |
| date | 包含對應於 pmt 中提供之現金流量付款的日期排程的運算式或欄位。 第一個值作為計算未來現金流偏移的開始日期使用。 |
| TOTAL |
如果單字 TOTAL 位於函數引數之前,則會在提供現行選項的所有可能值上進行計算,而不僅僅是關於目前維度值的那些選項,也就是說,它會忽略圖表維度。 透過使用 TOTAL [<fld {.fld}>] (其中 TOTAL 限定詞後面是做為圖表維度變數子集之一或更多欄位名稱的清單),您可建立總可能值的子集。 |
使用此函數時,適用下列限制:
-
除非內部彙總包含 TOTAL 或 ALL 限定詞,否則 discount_rate、pmt 與 date 不可包含彙總函數。 如需更進階的巢狀彙總,請結合使用進階函數 Aggr 與指定維度。
-
若資料配對中有任一資料是 (或兩個都是) 文字值、NULL 值及遺漏值,會導致整個資料配對被忽略。
什麼情況下使用
- XNPV() 用於計算投資機會淨現值 (NPV) 的財務模型。
-
由於其精確度較高,因此與 NPV 相比偏好為所有財務模型類型採用 XNPV。
區域設定
除非另有說明,否則此主題中的範例皆使用下列日期格式:MM/DD/YYYY。日期格式是在資料載入指令碼的 SET DateFormat 陳述式中指定。由於地區設定和其他因素,您系統中的預設日期格式可能會不同。您可以變更以下範例中的格式,以滿足您的需求。或者,您可以在載入指令碼中變更格式,以符合這些範例。
應用程式中的預設地區設定是根據安裝 Qlik Sense 之電腦或伺服器的地區系統設定。若您存取的 Qlik Sense 伺服器設定為瑞典,資料載入編輯器將會對日期、時間和貨幣使用瑞典文地區設定。這些地區格式設定與 Qlik Sense 使用者介面中顯示的語言無關。Qlik Sense 顯示的語言將與您正在使用的瀏覽器相同。