The NPV() script function takes a discount rate and multiple values ordered by period. Inflows (incomes) are positive, and outflows (future payments) are assumed to be negative values for these calculations. These occur at the end of each period.
Net Present Value, or NPV, is used to calculate the current total value of a future stream of cash flows. To calculate NPV, we need to estimate future cash flows for each period and determine the correct discount rate.
The NPV() script function takes a discount rate and multiple values ordered by period. Inflows (incomes) are positive, and outflows (future payments) are assumed to be negative values for these calculations. These occur at the end of each period.
Syntax:
NPV(discount_rate, value)
Return data type: numeric. By default, the result will be formatted as currency.
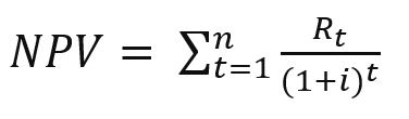
The formula to calculate net present value is:
where:
Rt= Net cash inflow-outflows during a single period t
i = Discount rate or return that could be earned in alternative investments
t = Number of timer periods
Arguments
Argument
Description
discount_rate
discount_rate is the percentage rate of discount applied.
A value of 0.1 would indicate a 10% discount rate.
value
This field holds values for multiple periods ordered by period. The first value is assumed to be the cashflow at the end of period 1, and so on.
Limitations:
The NPV() function has the following limitations:
Text values, NULL values and missing values are disregarded.
Cashflow values must be in order of ascending period.
When to use it
NPV() is a financial function used to check project profitability and to derive other measures. This function is useful when cashflows are available as raw data.
Regional settings
Unless otherwise specified, the examples in this topic use the following date format: MM/DD/YYYY. The date format is specified in the SET DateFormat statement in your data load script. The default date formatting may be different in your system, due to your regional settings and other factors. You can change the formats in the examples below to suit your requirements. Or you can change the formats in your load script to match these examples.
Default regional settings in apps are based on the regional system settings of the computer or server where Qlik Sense is installed. If the Qlik Sense server you are accessing is set to Sweden, the Data load editor will use Swedish regional settings for dates, time, and currency. These regional format settings are not related to the language displayed in the Qlik Sense user interface. Qlik Sense will be displayed in the same language as the browser you are using.
Example 1 – Single payment (script)
Overview
Open the Data load editor and add the load script below to a new section.
The load script contains:
A dataset of one project and its cashflow for one period, which is loaded into a table named CashFlow.
A resident load from the CashFlow table, which is used to calculate the NPV field for the project in a table named NPV.
A hard-coded discount rate of 10% , which is used in the NPV calculation.
A Group By statement, which is used to group all the payments for the project.
Load script
CashFlow:
Load
*
Inline
[
PrjId,PeriodId,Values
1,1,1000
];
NPV:
Load
PrjId,
NPV(0.1,Values) as NPV //Discount Rate of 10%
Resident CashFlow
Group By PrjId;
Results
Load the data and open a sheet. Create a new table and add these fields as dimensions:
PrjId
NPV
Results table
PrjId
NPV
1
$909.09
For a single payment of $1000 to be received at the end of one period, at a discount rate of 10% per period, the NPV is equal to $1000 divided by (1 + discount rate). The effective NPV is equal to $909.09
Example 2 – Multiple payments (script)
Overview
Open the Data load editor and add the load script below to a new section.
The load script contains:
A dataset of one project and its cashflow for multiple periods, which is loaded into a table named CashFlow.
A resident load from the CashFlow table, which is used to calculate the NPV field for the project in a table named NPV.
A hard-coded discount rate of 10% (0.1) is used in the NPV calculation.
A Group By statement, which is used to group all the payments for the project.
Load script
CashFlow:
Load
*
Inline
[
PrjId,PeriodId,Values
1,1,1000
1,2,1000
];
NPV:
Load
PrjId,
NPV(0.1,Values) as NPV //Discount Rate of 10%
Resident CashFlow
Group By PrjId;
Results
Load the data and open a sheet. Create a new table and add these fields as dimensions:
PrjId
NPV
Results table
PrjId
NPV
1
$1735.54
For payments of $1000 to be received at the end of two periods, at a discount rate of 10% per period, the effective NPV is equal to $1735.54.
Example 3 – Multiple payments (script)
Overview
Open the Data load editor and add the load script below to a new section.
The load script contains:
Discount rates for two projects, which is loaded into a table named Project.
Cashflows for multiple periods for each project by project ID and period ID. This period ID could be used to order the records in case the data is not ordered.
The combination of NoConcatenate, Resident loads, and the Left Join function to create a temporary table, tmpNPV. The table combines the records of Project and CashFlow tables into one flat table. This table will have discount rates repeated for each period.
A resident load from the tmpNPV table, which is used to calculate the NPV field for each project in a table named NPV.
The single value discount rate associated to each project. This is retrieved using the only() function and is used in the NPV calculation for each project.
A Group By statement, which is used to group all the payments for each project by project ID.
To avoid any synthetic or redundant data being loaded into the data model, the tmpNPV table is dropped at the end of the script.
Load script
Project:
Load * inline [
PrjId,Discount_Rate
1,0.1
2,0.15
];
CashFlow:
Load
*
Inline
[
PrjId,PeriodId,Values
1,1,1000
1,2,1000
1,3,1000
2,1,500
2,2,500
2,3,1000
2,4,1000
];
tmpNPV:
NoConcatenate Load *
Resident Project;
Left Join
Load *
Resident CashFlow;
NPV:
Load
PrjId,
NPV(Only(Discount_Rate),Values) as NPV //Discount Rate will be 10% for Project 1 and 15% for Project 2
Resident tmpNPV
Group By PrjId;
Drop table tmpNPV;
Results
Load the data and open a sheet. Create a new table and add these fields as dimensions:
PrjId
NPV
Results table
PrjId
NPV
1
$2486.85
2
$2042.12
Project ID 1 expects for payments of $1000 to be received at the end of three periods, at a discount rate of 10% per period. Therefore, the effective NPV is equal to $2486.85.
Project ID 2 expects two payments of $500 and two further payments of $1000 across four periods at a discount rate of 15%. Therefore, the effective NPV is equal to $2042.12.
Example 4 – Project profitability example (script)
Overview
Open the Data load editor and add the load script below to a new section.
The load script contains:
Discount rates and initial investments (period 0) for two projects, loaded into a table named Project.
Cashflows for multiple periods for each project by project ID and period ID. This period ID could be used to order the records in case the data is not ordered.
The combination of NoConcatenate, Resident loads, and the Left Join function to create a temporary table, tmpNPV. The table combines the records of Project and CashFlow tables into one flat table. This table will have discount rates repeated for each period.
The single value discount rate associated to each project, which is retrieved using the only() function and is used in the NPV calculation for each project.
A resident load from the tmpNPV table is used to calculate the NPV field for each project in a table named NPV.
An additional field that divides the NPV by the initial investment of each project is created to calculate the project profitability index.
A group by statement, grouping by project ID, is used to group all the payments for each project.
To avoid any synthetic or redundant data being loaded into the data model, the tmpNPV table is dropped at the end of the script.
Load script
Project:
Load * inline [
PrjId,Discount_Rate, Initial_Investment
1,0.1,100000
2,0.15,100000
];
CashFlow:
Load
*
Inline
[
PrjId,PeriodId,Values,
1,1,35000
1,2,35000
1,3,35000
2,1,30000
2,2,40000
2,3,50000
2,4,60000
];
tmpNPV:
NoConcatenate Load *
Resident Project;
Left Join
Load *
Resident CashFlow;
NPV:
Load
PrjId,
NPV(Only(Discount_Rate),Values) as NPV, //Discount Rate will be 10% for Project 1 and 15% for Project 2
NPV(Only(Discount_Rate),Values)/ Only(Initial_Investment) as Profitability_Index
Resident tmpNPV
Group By PrjId;
Drop table tmpNPV;
Results
Load the data and open a sheet. Create a new table and add these fields as dimensions:
PrjId
NPV
Create the following measure:
=only(Profitability_Index)
Results table
PrjId
NPV
=only(Profitability_Index)
1
$87039.82
0.87
2
$123513.71
1.24
Project ID 1 has an effective NPV of $87039.82 and an initial investment of $100000. Therefore, the profitability index is equal to 0.87. Because it is less than 1, the project is not profitable.
Project ID 2 has an effective NPV of $123513.71 and an initial investment of $100000. Therefore, the profitability index is equal to 1.24. Because it is greater than 1, the project is profitable.